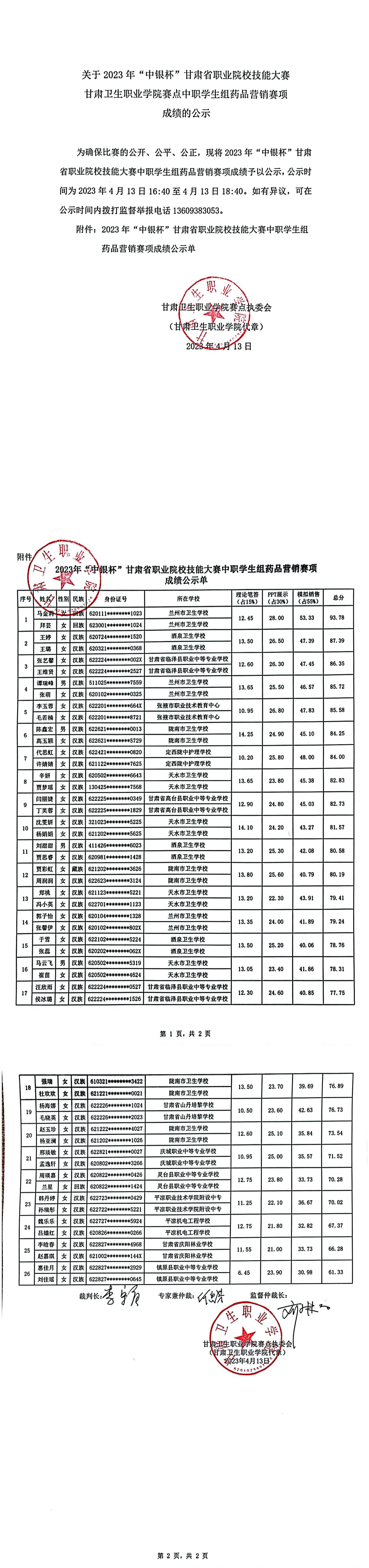
关于2023年“中银杯”甘肃省职业院校技能大赛威廉希尔中文网站赛点中职学生组药品营销赛项成绩的公示
发布时间:2023-04-13
点击数:12972


电话:0931-8265644
甘公网安备 62010202002035号Copyright © 2005-2024 威廉希尔·(WilliamHill)中文官方网站. All Rights Reserved.
陇ICP备11000186号-1
